色漫网
色漫网
色漫网概况
色漫网简介
现任领导
机构设置
系部介绍
师资队伍
队伍概况
英语系
东语系
西语系
大学英语部
研究生教学部
本科教育
外语专业
大学英语
实践基地
教学资源
研究生教育
学位点介绍
导师队伍
教学与研究动态
实践基地
研究生会
学术研究
学术机构
学术动态
科研成果
合作交流
国际交流
国内交流
党群工作
党建工作
工会活动
招生就业
招生工作
就业工作
学生之窗
学工快讯
创新创业
校友风采
表格下载
English
当前位置:
色漫网
>>
党群工作
>>
党建工作
>>
党建动态
>> 正文
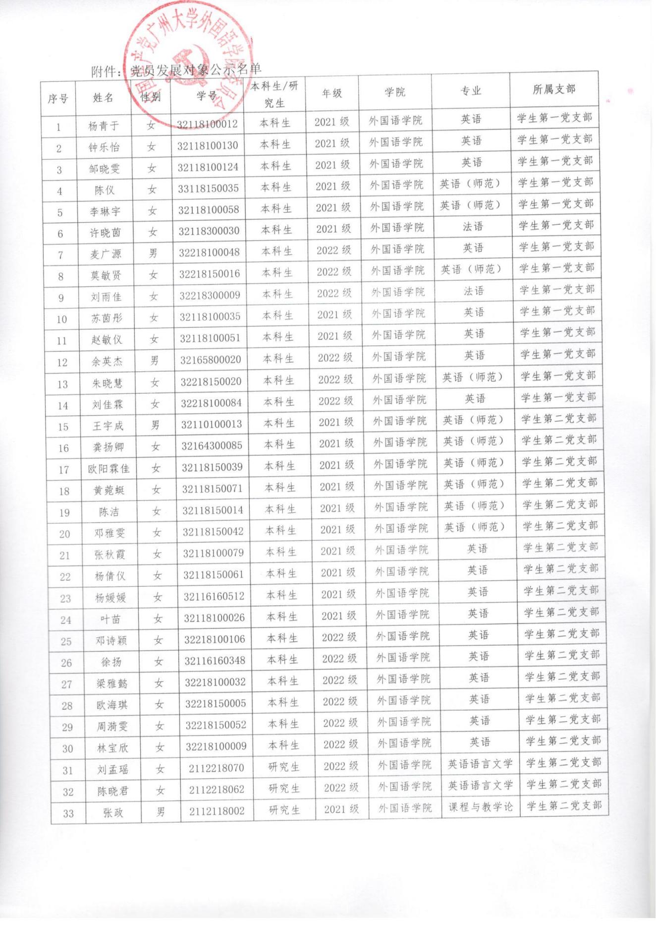
色漫网 关于拟确定为2024年春季党员发展对象的名单公示
发布者:
[发表时间]:2024-04-01
[来源]:
[浏览次数]: